Crack Width - Tension Chord Model - Verification

Acest articol este disponibil și în:
The Tension Chord Model is one of the models currently employed for crack width calculation. The objective is to introduce and clarify to the users how all the assumptions are implemented within the CSFM. After reading this article, you should be well-equipped to understand the crack width.

Introduction 

The strength of the Tension Chord Model lies in its balanced combination of physical realism and computational efficiency. The model preserves the fundamental mechanics governing cracking behavior, namely bond action, strain incompatibility between reinforcement and concrete, and equilibrium, while remaining well-suited for practical engineering workflows.

Axial force transfer between reinforcement and concrete is achieved through a bond mechanism that operates via shear interaction, inherently allowing slip and therefore resulting in non-compatible deformations of the two components.

The model further captures the distinct behavior of weakly and strongly reinforced concrete through the formulation of the average strain, which plays a governing role in evaluating crack spacing and crack width.

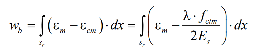
The fundamental concept originates from the equation (Fig. 01a) for calculating crack width, which is essential for understanding the entire principle. The average strain on the rebars is calculated by subtracting the portion of the averaged tensile strain in concrete and integrating over the length between the cracks. 

inline image in article

01a) Crack width calculation - essential equation

The IDEA StatiCa model for SLS considers:

  • Bond element between rebars and concrete 
  • Incompatibility of strain fields for rebars and concrete
  • The average strain -> the tension stiffening
  • Stabilized crack pattern
inline image in article

01b) Tension Chord Model - mechanical model and crack width calculation

TCM-main parameters

The calculation of crack width is a multilevel process that occurs in the background of IDEA StatiCa Detail. The three principal parameters control the crack width:

inline image in article

02) Equations underlying the workflow for TCM - crack width

The material diagram is adapted based on the reinforcement ratio across the whole model. It means that for different reinforcement ratios, a varying material model for rebar is employed. In our scenario, the reinforcement ratio remains constant due to the uniform redistribution of rebars and the uniform diameters. 

inline image in article

03) Material diagram change for different reinforcement ratios

The relationship between crack spacing and reinforcement ratio exhibits a nonlinear tendency.

inline image in article

04) Crack spacing dependency relation against the effective reinforcement ratio

Model description

The testing model, meticulously developed for evaluation purposes, is constructed utilizing a beam featuring a rectangular cross-section measuring 250 x 1000 mm and a length of 4000 mm. This model has been subjected to an axial force of 500 kN. The reinforcement has been strategically arranged into five distinct layers, distributed across the height of the section, with each layer comprising two 16 mm diameter bars.

inline image in article

05) Model description

Outputs

inline image in article

06) Maximal stress in between the cracks and average strain on rebars

The crack spacing is presented for the parameter sr0, which represents the fundamental crack spacing without averaging. The calculation of crack width employs average strain values and the fundamental crack spacing to determine the respective crack widths. 

inline image in article

07) Reinforcement ratio, crack spacing, and crack width

inline image in article

08) Tension stiffening graph for the actual model 

Hand-calculation

inline image in article

09) Inputs and average strains

The default configuration for crack width calculation excludes the contribution of the tensile strength of concrete, which diverges from findings documented and published in the literature. Incorporating the tensile contribution results in a reduction of crack width by approximately 3.1% under the current conditions. IDEA StatiCa Detail does not account for the contribution of concrete tension in between cracks for TCM. It leads to a bigger crack width and a conservative approach. 

inline image in article

10) Crack width analytical check

Key takeaways and conclusion

The fundamental premises for the SLS model are as follows:

  • Bond element between rebars and concrete 
  • Incompatibility of strain fields for rebars and concrete
  • The average strain -> the tension stiffening

Three critical parameters influence the width of cracks:

  • Effective reinforcement ratio.
  • Average strain values.
  • Crack spacing.

For the TCM approach, the default assumption excludes the contribution of average tensile strength to the determination of crack width. This approach deviates from established literature assumptions, resulting in a more conservative analysis. However, the contribution is minimal, approximately 3% for the current model and concrete grade C30/37.

Fișiere atașate

Articole conexe