RCS-API - Studio sull'influenza delle armature

Questo articolo è disponibile in:
L'esempio seguente illustra alcune caratteristiche del nuovo RCS - API. Utilizzando un file esistente contenente una sezione con dimensioni e carichi predefiniti, è possibile aggiungere o modificare l'armatura per analizzarne l'impatto sulla sezione.

L'API sarà gestita tramite il linguaggio di programmazione Python. Il riferimento è su IDEA StatiCa Git-Hub.

Panoramica dei prossimi passi

  1. Applicare un modello di armatura alla sezione di progetto selezionata.
  2. Eseguire il calcolo
  3. Estrarre dal calcolo i risultati che si desidera verificare
  4. Aggiungere i risultati a un dataframe, che può essere utilizzato per tracciare un grafico.
inline image in article

Pacchetto installazioni

I pacchetti forniscono funzioni/oggetti di comunicazione e preinstallati per lanciare l'API, lavorare con i dataframe e tracciare i grafici.

IDEA StatiCa RCS Client è un componente di IDEA StatiCa, una soluzione software ampiamente utilizzata per la progettazione e la verifica di elementi strutturali, comprese le strutture in cemento armato e acciaio. In particolare, RCS sta per Reinforced Concrete Sections (sezioni in calcestruzzo armato) e RCS Client è una parte dell'applicazione che si concentra sull'analisi e la verifica del comportamento delle sezioni in cemento armato in varie condizioni di carico.

Caratteristiche principali di IDEA StatiCa RCS Client:

  1. Analisi delle sezioni: Permette agli ingegneri di analizzare sezioni trasversali di elementi in calcestruzzo, considerando le complesse interazioni tra calcestruzzo e armatura. Ciò può includere comportamenti non lineari, fessurazioni e altri fenomeni.
  2. Conformità al codice: Il client RCS verifica il progetto rispetto a vari codici internazionali, assicurando che le sezioni soddisfino gli standard di sicurezza e di prestazione.
  3. Diagrammi di interazione: Può generare diagrammi di interazione per varie combinazioni di carico, aiutando gli ingegneri a capire come si comporta una sezione in diverse condizioni di carico (ad esempio, carico assiale combinato con momenti flettenti).
  4. Visualizzazione dei risultati: Il software fornisce visualizzazioni dettagliate delle distribuzioni di sollecitazione-deformazione, dei modelli di cricca e altro ancora, aiutando gli ingegneri a interpretare e comprendere facilmente i risultati.
  5. Integrazione con altri moduli: Il client RCS può lavorare insieme ad altri moduli IDEA StatiCa, come quelli per le connessioni in acciaio o per le membrature in calcestruzzo, fornendo un ambiente di progettazione e analisi completo.
  6. Automazione e API: Il client RCS può essere integrato nei flussi di lavoro utilizzando le sue API, consentendo l'analisi automatizzata o l'integrazione con altri strumenti software.
inline image in article
inline image in article

Aprire il progetto esistente e ottenere i dettagli della sezione

  1. Aprire il modello in IDEA StatiCa si chiama"Progetto2.IdeaRcs".
  2. Ottenere i dettagli dall'Estremo in IDEA StatiCa Navigatore (se ci sarà più di una sezione definita, terrà conto di tutti gli Estremi di )
inline image in article
inline image in article

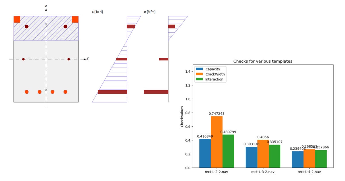
Eseguire il ciclo sui modelli, il calcolo e i risultati

  1. Selezione della sezione per l'analisi
  2. Modelli che verranno utilizzati per l'analisi
  3. Calcolo di tutte le varianti
  4. Stampa dei risultati
inline image in article

Plotting i risultati (matplotlib)

inline image in article
inline image in article

Hai acquisito competenza nell'utilizzo dell'API per RCS per condurre analisi batch sui modelli in IDEA StatiCa RCS.

File di esempio

Articoli correlati